Movie Where Girl Dies In Water Tank . Lam, 21, was found dead in a water tank. 19 in one of the cecil hotel’s water tanks on the roof of the building. Web the death of canadian tourist elisa lam, whose body was found in a water tank atop a los angeles hotel, has inspired the plot of a hollywood horror movie. Web her body was found on feb. Surveillance footage showed her acting strangely in the hotel's elevator — then the autopsy showed no traces of alcohol or illegal substances. Cctv footage from the cecil hotel was used to try and trace elisa's final moments. Her body was found two weeks later in the water tank on the roof of. In 2013, elisa lam was staying at los angeles' cecil hotel when she suddenly vanished. Elisa's body was found in a.
from www.supreme.co.in
Web her body was found on feb. 19 in one of the cecil hotel’s water tanks on the roof of the building. Web the death of canadian tourist elisa lam, whose body was found in a water tank atop a los angeles hotel, has inspired the plot of a hollywood horror movie. Lam, 21, was found dead in a water tank. Her body was found two weeks later in the water tank on the roof of. In 2013, elisa lam was staying at los angeles' cecil hotel when she suddenly vanished. Cctv footage from the cecil hotel was used to try and trace elisa's final moments. Elisa's body was found in a. Surveillance footage showed her acting strangely in the hotel's elevator — then the autopsy showed no traces of alcohol or illegal substances.
Plastic Piping Systems WeatherShield Overhead Water Tanks 5Layer
Movie Where Girl Dies In Water Tank In 2013, elisa lam was staying at los angeles' cecil hotel when she suddenly vanished. Her body was found two weeks later in the water tank on the roof of. Web her body was found on feb. Elisa's body was found in a. Cctv footage from the cecil hotel was used to try and trace elisa's final moments. 19 in one of the cecil hotel’s water tanks on the roof of the building. Web the death of canadian tourist elisa lam, whose body was found in a water tank atop a los angeles hotel, has inspired the plot of a hollywood horror movie. Surveillance footage showed her acting strangely in the hotel's elevator — then the autopsy showed no traces of alcohol or illegal substances. In 2013, elisa lam was staying at los angeles' cecil hotel when she suddenly vanished. Lam, 21, was found dead in a water tank.
From abc7chicago.com
Boy, 11, dies in fall through icy pond after saving friend; barefoot Movie Where Girl Dies In Water Tank Her body was found two weeks later in the water tank on the roof of. Surveillance footage showed her acting strangely in the hotel's elevator — then the autopsy showed no traces of alcohol or illegal substances. Web her body was found on feb. 19 in one of the cecil hotel’s water tanks on the roof of the building. Lam,. Movie Where Girl Dies In Water Tank.
From www.tradeindia.com
50000 Liter Storage Mild Steel Body Water Storage Tank For Inustrial Movie Where Girl Dies In Water Tank Her body was found two weeks later in the water tank on the roof of. Surveillance footage showed her acting strangely in the hotel's elevator — then the autopsy showed no traces of alcohol or illegal substances. Cctv footage from the cecil hotel was used to try and trace elisa's final moments. 19 in one of the cecil hotel’s water. Movie Where Girl Dies In Water Tank.
From enduramaxx.co.uk
10,000 Litre Potable Drinking Water Tank 2600 dia x 2290 h (mm) Movie Where Girl Dies In Water Tank Her body was found two weeks later in the water tank on the roof of. Surveillance footage showed her acting strangely in the hotel's elevator — then the autopsy showed no traces of alcohol or illegal substances. Web her body was found on feb. Lam, 21, was found dead in a water tank. In 2013, elisa lam was staying at. Movie Where Girl Dies In Water Tank.
From english.varthabharati.in
7yearold girl dies after falling into water tank while playing in Movie Where Girl Dies In Water Tank Her body was found two weeks later in the water tank on the roof of. Lam, 21, was found dead in a water tank. Cctv footage from the cecil hotel was used to try and trace elisa's final moments. Surveillance footage showed her acting strangely in the hotel's elevator — then the autopsy showed no traces of alcohol or illegal. Movie Where Girl Dies In Water Tank.
From www.cnn.com
Hotel with corpse in water tank has notorious past CNN Movie Where Girl Dies In Water Tank Web the death of canadian tourist elisa lam, whose body was found in a water tank atop a los angeles hotel, has inspired the plot of a hollywood horror movie. Elisa's body was found in a. Surveillance footage showed her acting strangely in the hotel's elevator — then the autopsy showed no traces of alcohol or illegal substances. Lam, 21,. Movie Where Girl Dies In Water Tank.
From www.facebook.com
Fatal Accident at Farmagudi between a water tanker & twowheeler, rider Movie Where Girl Dies In Water Tank Surveillance footage showed her acting strangely in the hotel's elevator — then the autopsy showed no traces of alcohol or illegal substances. Web the death of canadian tourist elisa lam, whose body was found in a water tank atop a los angeles hotel, has inspired the plot of a hollywood horror movie. Cctv footage from the cecil hotel was used. Movie Where Girl Dies In Water Tank.
From www.youtube.com
8yearold Florida girl dies months after being dared to drinking Movie Where Girl Dies In Water Tank Surveillance footage showed her acting strangely in the hotel's elevator — then the autopsy showed no traces of alcohol or illegal substances. Elisa's body was found in a. Her body was found two weeks later in the water tank on the roof of. Lam, 21, was found dead in a water tank. Cctv footage from the cecil hotel was used. Movie Where Girl Dies In Water Tank.
From www.alamy.com
Elisa lam the body in the water tank Stock Videos & Footage HD and 4K Movie Where Girl Dies In Water Tank Cctv footage from the cecil hotel was used to try and trace elisa's final moments. Her body was found two weeks later in the water tank on the roof of. 19 in one of the cecil hotel’s water tanks on the roof of the building. Surveillance footage showed her acting strangely in the hotel's elevator — then the autopsy showed. Movie Where Girl Dies In Water Tank.
From abc7chicago.com
Raw video released showing woman found dead in Rosemont hotel freezer Movie Where Girl Dies In Water Tank Surveillance footage showed her acting strangely in the hotel's elevator — then the autopsy showed no traces of alcohol or illegal substances. 19 in one of the cecil hotel’s water tanks on the roof of the building. Her body was found two weeks later in the water tank on the roof of. In 2013, elisa lam was staying at los. Movie Where Girl Dies In Water Tank.
From www.youtube.com
Dead in The Water {Jack frost} YouTube Movie Where Girl Dies In Water Tank In 2013, elisa lam was staying at los angeles' cecil hotel when she suddenly vanished. Web her body was found on feb. Web the death of canadian tourist elisa lam, whose body was found in a water tank atop a los angeles hotel, has inspired the plot of a hollywood horror movie. Elisa's body was found in a. Surveillance footage. Movie Where Girl Dies In Water Tank.
From allthatsinteresting.com
The Agony Of Omayra Sánchez The Story Behind The Haunting Photo Movie Where Girl Dies In Water Tank Web her body was found on feb. In 2013, elisa lam was staying at los angeles' cecil hotel when she suddenly vanished. 19 in one of the cecil hotel’s water tanks on the roof of the building. Cctv footage from the cecil hotel was used to try and trace elisa's final moments. Her body was found two weeks later in. Movie Where Girl Dies In Water Tank.
From discover.hubpages.com
The 10 Saddest Anime Deaths of All Time HubPages Movie Where Girl Dies In Water Tank In 2013, elisa lam was staying at los angeles' cecil hotel when she suddenly vanished. Elisa's body was found in a. Web the death of canadian tourist elisa lam, whose body was found in a water tank atop a los angeles hotel, has inspired the plot of a hollywood horror movie. 19 in one of the cecil hotel’s water tanks. Movie Where Girl Dies In Water Tank.
From www.desertcart.sc
Buy Foldable Water Container, 250L Collapsible Water Tanks, Water Movie Where Girl Dies In Water Tank Lam, 21, was found dead in a water tank. Elisa's body was found in a. Web the death of canadian tourist elisa lam, whose body was found in a water tank atop a los angeles hotel, has inspired the plot of a hollywood horror movie. Cctv footage from the cecil hotel was used to try and trace elisa's final moments.. Movie Where Girl Dies In Water Tank.
From www.flownews24.com.au
Man dies in water tank incident in southern Victoria Movie Where Girl Dies In Water Tank Web her body was found on feb. Surveillance footage showed her acting strangely in the hotel's elevator — then the autopsy showed no traces of alcohol or illegal substances. 19 in one of the cecil hotel’s water tanks on the roof of the building. Her body was found two weeks later in the water tank on the roof of. Lam,. Movie Where Girl Dies In Water Tank.
From www.numerade.com
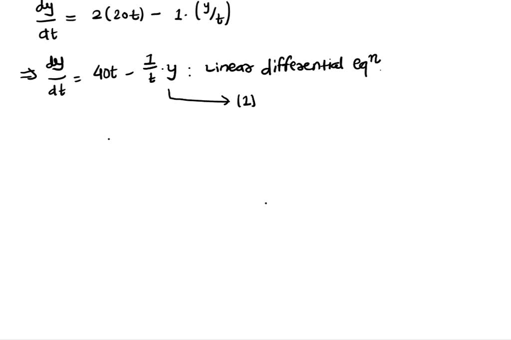
SOLVED Suppose a water tank is being pumped out at 1 L/min. The tank Movie Where Girl Dies In Water Tank 19 in one of the cecil hotel’s water tanks on the roof of the building. Elisa's body was found in a. Web the death of canadian tourist elisa lam, whose body was found in a water tank atop a los angeles hotel, has inspired the plot of a hollywood horror movie. Surveillance footage showed her acting strangely in the hotel's. Movie Where Girl Dies In Water Tank.
From www.rototank.co.za
A Vertical 5000 lt Water Tank RotoTankTM Movie Where Girl Dies In Water Tank 19 in one of the cecil hotel’s water tanks on the roof of the building. Web the death of canadian tourist elisa lam, whose body was found in a water tank atop a los angeles hotel, has inspired the plot of a hollywood horror movie. Her body was found two weeks later in the water tank on the roof of.. Movie Where Girl Dies In Water Tank.
From www.thevintagenews.com
The Filming of 'Jaws' Almost Ended in RealLife Tragedy The Vintage News Movie Where Girl Dies In Water Tank Her body was found two weeks later in the water tank on the roof of. Cctv footage from the cecil hotel was used to try and trace elisa's final moments. Web the death of canadian tourist elisa lam, whose body was found in a water tank atop a los angeles hotel, has inspired the plot of a hollywood horror movie.. Movie Where Girl Dies In Water Tank.
From www.aajtak.in
कानपुर पानी की टंकी में डूबी ढाई साल की मासूम, परिजनों ने देखा, तब तक Movie Where Girl Dies In Water Tank 19 in one of the cecil hotel’s water tanks on the roof of the building. Surveillance footage showed her acting strangely in the hotel's elevator — then the autopsy showed no traces of alcohol or illegal substances. Her body was found two weeks later in the water tank on the roof of. Elisa's body was found in a. Web the. Movie Where Girl Dies In Water Tank.